Horseradish Peroxidase Conjugated Secondary Antibody . hrp secondary antibodies. Extensively tested and optimized for diverse applications including wb, ihc and elisa. horseradish peroxidase (hrp) is a 44 kda glycoprotein with 6 lysine residues, which can be conjugated to antibodies and. antibodies conjugated with horseradish peroxidase (hrp) are one of the most widely used bioreagents in the biological sciences. hrp conjugates are suitable for all immunotechniques employing colorimetric and chemiluminescent detection methods, including western blotting,. antibodies conjugated with horseradish peroxidase (hrp) are one of the most widely used bioreagents in the biological sciences.
from www.researchgate.net
antibodies conjugated with horseradish peroxidase (hrp) are one of the most widely used bioreagents in the biological sciences. hrp secondary antibodies. horseradish peroxidase (hrp) is a 44 kda glycoprotein with 6 lysine residues, which can be conjugated to antibodies and. hrp conjugates are suitable for all immunotechniques employing colorimetric and chemiluminescent detection methods, including western blotting,. antibodies conjugated with horseradish peroxidase (hrp) are one of the most widely used bioreagents in the biological sciences. Extensively tested and optimized for diverse applications including wb, ihc and elisa.
(PDF) Design, Synthesis, and Evaluation of Gold NanoparticleAntibody
Horseradish Peroxidase Conjugated Secondary Antibody hrp secondary antibodies. horseradish peroxidase (hrp) is a 44 kda glycoprotein with 6 lysine residues, which can be conjugated to antibodies and. antibodies conjugated with horseradish peroxidase (hrp) are one of the most widely used bioreagents in the biological sciences. antibodies conjugated with horseradish peroxidase (hrp) are one of the most widely used bioreagents in the biological sciences. hrp conjugates are suitable for all immunotechniques employing colorimetric and chemiluminescent detection methods, including western blotting,. Extensively tested and optimized for diverse applications including wb, ihc and elisa. hrp secondary antibodies.
From www.bioz.com
Horseradish Peroxidase Conjugated Anti Rabbit Igg Cell Signaling Horseradish Peroxidase Conjugated Secondary Antibody antibodies conjugated with horseradish peroxidase (hrp) are one of the most widely used bioreagents in the biological sciences. hrp conjugates are suitable for all immunotechniques employing colorimetric and chemiluminescent detection methods, including western blotting,. hrp secondary antibodies. horseradish peroxidase (hrp) is a 44 kda glycoprotein with 6 lysine residues, which can be conjugated to antibodies and.. Horseradish Peroxidase Conjugated Secondary Antibody.
From www.di.uq.edu.au
Immunohistochemistry Diamantina Institute University of Queensland Horseradish Peroxidase Conjugated Secondary Antibody antibodies conjugated with horseradish peroxidase (hrp) are one of the most widely used bioreagents in the biological sciences. hrp secondary antibodies. horseradish peroxidase (hrp) is a 44 kda glycoprotein with 6 lysine residues, which can be conjugated to antibodies and. hrp conjugates are suitable for all immunotechniques employing colorimetric and chemiluminescent detection methods, including western blotting,.. Horseradish Peroxidase Conjugated Secondary Antibody.
From www.slideserve.com
PPT The Immune system PowerPoint Presentation, free download ID5588736 Horseradish Peroxidase Conjugated Secondary Antibody hrp conjugates are suitable for all immunotechniques employing colorimetric and chemiluminescent detection methods, including western blotting,. horseradish peroxidase (hrp) is a 44 kda glycoprotein with 6 lysine residues, which can be conjugated to antibodies and. Extensively tested and optimized for diverse applications including wb, ihc and elisa. antibodies conjugated with horseradish peroxidase (hrp) are one of the. Horseradish Peroxidase Conjugated Secondary Antibody.
From www.researchgate.net
(PDF) Design, Synthesis, and Evaluation of Gold NanoparticleAntibody Horseradish Peroxidase Conjugated Secondary Antibody antibodies conjugated with horseradish peroxidase (hrp) are one of the most widely used bioreagents in the biological sciences. hrp conjugates are suitable for all immunotechniques employing colorimetric and chemiluminescent detection methods, including western blotting,. horseradish peroxidase (hrp) is a 44 kda glycoprotein with 6 lysine residues, which can be conjugated to antibodies and. antibodies conjugated with. Horseradish Peroxidase Conjugated Secondary Antibody.
From www.aatbio.com
Horseradish Peroxidase (HRP) and PolyHRP AAT Bioquest Horseradish Peroxidase Conjugated Secondary Antibody horseradish peroxidase (hrp) is a 44 kda glycoprotein with 6 lysine residues, which can be conjugated to antibodies and. Extensively tested and optimized for diverse applications including wb, ihc and elisa. hrp secondary antibodies. hrp conjugates are suitable for all immunotechniques employing colorimetric and chemiluminescent detection methods, including western blotting,. antibodies conjugated with horseradish peroxidase (hrp). Horseradish Peroxidase Conjugated Secondary Antibody.
From www.semanticscholar.org
Figure 1 from LOCATION OF ANTIBODY TO HORSERADISH PEROXIDASE IN Horseradish Peroxidase Conjugated Secondary Antibody antibodies conjugated with horseradish peroxidase (hrp) are one of the most widely used bioreagents in the biological sciences. antibodies conjugated with horseradish peroxidase (hrp) are one of the most widely used bioreagents in the biological sciences. hrp conjugates are suitable for all immunotechniques employing colorimetric and chemiluminescent detection methods, including western blotting,. Extensively tested and optimized for. Horseradish Peroxidase Conjugated Secondary Antibody.
From www.egypt-business.com
Report explores the Horseradish Peroxidase (HRP) Market 2017 Size Horseradish Peroxidase Conjugated Secondary Antibody antibodies conjugated with horseradish peroxidase (hrp) are one of the most widely used bioreagents in the biological sciences. antibodies conjugated with horseradish peroxidase (hrp) are one of the most widely used bioreagents in the biological sciences. Extensively tested and optimized for diverse applications including wb, ihc and elisa. horseradish peroxidase (hrp) is a 44 kda glycoprotein with. Horseradish Peroxidase Conjugated Secondary Antibody.
From www.aatbio.com
Secondary Antibodies AAT Bioquest Horseradish Peroxidase Conjugated Secondary Antibody Extensively tested and optimized for diverse applications including wb, ihc and elisa. hrp secondary antibodies. antibodies conjugated with horseradish peroxidase (hrp) are one of the most widely used bioreagents in the biological sciences. antibodies conjugated with horseradish peroxidase (hrp) are one of the most widely used bioreagents in the biological sciences. horseradish peroxidase (hrp) is a. Horseradish Peroxidase Conjugated Secondary Antibody.
From www.anyrgb.com
Primary and secondary antibodies, immunoglobulin Light Chain Horseradish Peroxidase Conjugated Secondary Antibody antibodies conjugated with horseradish peroxidase (hrp) are one of the most widely used bioreagents in the biological sciences. antibodies conjugated with horseradish peroxidase (hrp) are one of the most widely used bioreagents in the biological sciences. horseradish peroxidase (hrp) is a 44 kda glycoprotein with 6 lysine residues, which can be conjugated to antibodies and. hrp. Horseradish Peroxidase Conjugated Secondary Antibody.
From www.probiotek.com
Horseradish Peroxidaselabeled Antibodies ( HRP ) Horseradish Peroxidase Conjugated Secondary Antibody horseradish peroxidase (hrp) is a 44 kda glycoprotein with 6 lysine residues, which can be conjugated to antibodies and. hrp conjugates are suitable for all immunotechniques employing colorimetric and chemiluminescent detection methods, including western blotting,. Extensively tested and optimized for diverse applications including wb, ihc and elisa. hrp secondary antibodies. antibodies conjugated with horseradish peroxidase (hrp). Horseradish Peroxidase Conjugated Secondary Antibody.
From www.fishersci.fi
Novex™ Goat antiRabbit IgG (H+L) crossadsorbed, horseradish Horseradish Peroxidase Conjugated Secondary Antibody hrp conjugates are suitable for all immunotechniques employing colorimetric and chemiluminescent detection methods, including western blotting,. horseradish peroxidase (hrp) is a 44 kda glycoprotein with 6 lysine residues, which can be conjugated to antibodies and. Extensively tested and optimized for diverse applications including wb, ihc and elisa. antibodies conjugated with horseradish peroxidase (hrp) are one of the. Horseradish Peroxidase Conjugated Secondary Antibody.
From www.researchgate.net
(PDF) Horseradish peroxidaseconjugatednanobodybased blocking ELISA Horseradish Peroxidase Conjugated Secondary Antibody antibodies conjugated with horseradish peroxidase (hrp) are one of the most widely used bioreagents in the biological sciences. hrp secondary antibodies. hrp conjugates are suitable for all immunotechniques employing colorimetric and chemiluminescent detection methods, including western blotting,. antibodies conjugated with horseradish peroxidase (hrp) are one of the most widely used bioreagents in the biological sciences. . Horseradish Peroxidase Conjugated Secondary Antibody.
From www.bio-techne.com
Sheep IgG Horseradish Peroxidaseconjugated Antibody (HAF016) BioTechne Horseradish Peroxidase Conjugated Secondary Antibody antibodies conjugated with horseradish peroxidase (hrp) are one of the most widely used bioreagents in the biological sciences. horseradish peroxidase (hrp) is a 44 kda glycoprotein with 6 lysine residues, which can be conjugated to antibodies and. hrp conjugates are suitable for all immunotechniques employing colorimetric and chemiluminescent detection methods, including western blotting,. Extensively tested and optimized. Horseradish Peroxidase Conjugated Secondary Antibody.
From www.researchgate.net
ELISA detection scheme using the enzyme horseradish peroxidase (HRP Horseradish Peroxidase Conjugated Secondary Antibody Extensively tested and optimized for diverse applications including wb, ihc and elisa. antibodies conjugated with horseradish peroxidase (hrp) are one of the most widely used bioreagents in the biological sciences. horseradish peroxidase (hrp) is a 44 kda glycoprotein with 6 lysine residues, which can be conjugated to antibodies and. antibodies conjugated with horseradish peroxidase (hrp) are one. Horseradish Peroxidase Conjugated Secondary Antibody.
From www.youtube.com
Horse Radish Peroxidase (HRP) Mechanism of Action YouTube Horseradish Peroxidase Conjugated Secondary Antibody horseradish peroxidase (hrp) is a 44 kda glycoprotein with 6 lysine residues, which can be conjugated to antibodies and. Extensively tested and optimized for diverse applications including wb, ihc and elisa. antibodies conjugated with horseradish peroxidase (hrp) are one of the most widely used bioreagents in the biological sciences. hrp secondary antibodies. antibodies conjugated with horseradish. Horseradish Peroxidase Conjugated Secondary Antibody.
From www.fishersci.com
Mouse IgG Horseradish Peroxidaseconjugated Antibody, R D Systems 1 mL Horseradish Peroxidase Conjugated Secondary Antibody antibodies conjugated with horseradish peroxidase (hrp) are one of the most widely used bioreagents in the biological sciences. hrp conjugates are suitable for all immunotechniques employing colorimetric and chemiluminescent detection methods, including western blotting,. Extensively tested and optimized for diverse applications including wb, ihc and elisa. horseradish peroxidase (hrp) is a 44 kda glycoprotein with 6 lysine. Horseradish Peroxidase Conjugated Secondary Antibody.
From www.bio-techne.com
Mouse IgG Horseradish Peroxidaseconjugated Antibody (HAF007) BioTechne Horseradish Peroxidase Conjugated Secondary Antibody Extensively tested and optimized for diverse applications including wb, ihc and elisa. antibodies conjugated with horseradish peroxidase (hrp) are one of the most widely used bioreagents in the biological sciences. antibodies conjugated with horseradish peroxidase (hrp) are one of the most widely used bioreagents in the biological sciences. horseradish peroxidase (hrp) is a 44 kda glycoprotein with. Horseradish Peroxidase Conjugated Secondary Antibody.
From www.creative-diagnostics.com
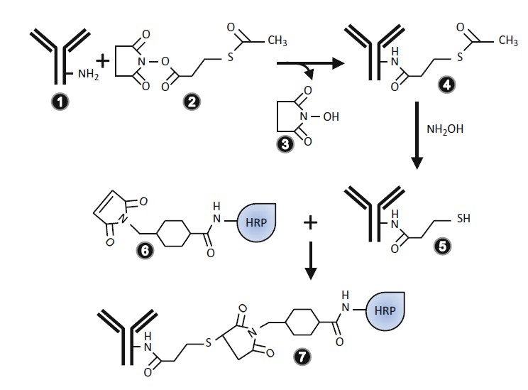
Bioconjugation of Antibodies to Horseradish Peroxidase (HRP) Protocol Horseradish Peroxidase Conjugated Secondary Antibody antibodies conjugated with horseradish peroxidase (hrp) are one of the most widely used bioreagents in the biological sciences. horseradish peroxidase (hrp) is a 44 kda glycoprotein with 6 lysine residues, which can be conjugated to antibodies and. Extensively tested and optimized for diverse applications including wb, ihc and elisa. hrp conjugates are suitable for all immunotechniques employing. Horseradish Peroxidase Conjugated Secondary Antibody.